题目内容
某同学利用单摆测定当地重力加速度.如图甲所示,实验时使摆球在垂直于纸面的平面内摆动.为了将人工记录振动次数改为自动记录振动次数,在摆球运动最低点的左、右两侧分别放置一激光光源、光敏电阻与某一自动记录仪相连;他用刻度尺测量细绳的悬点到球的顶端的距离当作摆长,分别测出摆长为L1和L2时,该仪器显示的光敏电阻的阻值R随时间t变化的图线分别如图乙、丙所示.(1)根据图乙、丙可知:当摆长为L1时,单摆的周期为T1=______;当摆长为L2时,单摆的周期为T2=______.
(2)请用所测量的物理量L1、L2、T1、T2,写出摆球直径的表达式d=______2L1-
| T | 21 |
| T | 21 |
| T | 22 |
【答案】分析:(1)在一个周期内两次经过平衡位置,根据该特点结合图象得出单摆的周期.
(2)摆长等于摆线的长度加上摆球的半径,根据单摆的周期公式T=2π
推导摆球直径d的表达式.并推导当地的重力加速度值g.
(3)单摆只有在摆角不超过5°时,其振动才是简谐运动.摆球应选用密度大钢球.
解答:解:(1)单摆在一个周期内两次经过平衡位置,每次经过平衡位置,单摆会挡住细激光束,从R-t图线可知周期为T1=2t1.T2=2t2.
(2)摆长等于摆线的长度加上小球的半径,根据单摆的周期公式T=2π
得:
T1=2π
T2=2π
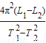
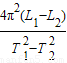
联立解得,d=
,g=
(3)提高实验结果准确程度建议:①摆线的最大摆角不超过5°;②选择密度大的钢球.
故答案为:
(1)2t1,2t2;
(2)d=
,g=
(3)①摆线的最大摆角不超过5°;②选择密度大的钢球.
点评:解决本题的关键掌握单摆的周期公式T=2π
.知道单摆的摆长等于摆线的长度加上摆球的半径.
(2)摆长等于摆线的长度加上摆球的半径,根据单摆的周期公式T=2π
(3)单摆只有在摆角不超过5°时,其振动才是简谐运动.摆球应选用密度大钢球.
解答:解:(1)单摆在一个周期内两次经过平衡位置,每次经过平衡位置,单摆会挡住细激光束,从R-t图线可知周期为T1=2t1.T2=2t2.
(2)摆长等于摆线的长度加上小球的半径,根据单摆的周期公式T=2π
T1=2π
T2=2π
联立解得,d=
(3)提高实验结果准确程度建议:①摆线的最大摆角不超过5°;②选择密度大的钢球.
故答案为:
(1)2t1,2t2;
(2)d=
(3)①摆线的最大摆角不超过5°;②选择密度大的钢球.
点评:解决本题的关键掌握单摆的周期公式T=2π
练习册系列答案
相关题目