题目内容
质量为m的小球A,在光滑的水平面上以速度v与质最为3m的静止小球B发生正碰,碰撞后A球的速度大小变为原来的1/3,则碰后小球B的速度大小可能为( )A.
B.
C.
D.
【答案】分析:碰撞过程中动量守恒,本题的难点在于判断碰撞后A球的速度方向,注意碰撞满足的条件:动量守恒,碰撞是一次性的不能重复碰撞,碰后动能小于等于碰前动能.
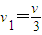
解答:解:若碰后A球速度方向和原来一致,则根据动量守恒得:mv=mv1+3mv2
将
带入得
,v1>v2,因此将发生第二次碰撞,故这种情况不可能,碰后A球速度将发生反向.
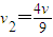
所以有:mv=mv1+3mv2
将
带入公式得:
,故ABC错误,D正确.
故选D.
点评:本题容易错选AD,做题过程中注意满足数学关系,不一定满足物理规律或实际情况,注意发生碰撞条件的灵活应用.
解答:解:若碰后A球速度方向和原来一致,则根据动量守恒得:mv=mv1+3mv2
将
所以有:mv=mv1+3mv2
将
故选D.
点评:本题容易错选AD,做题过程中注意满足数学关系,不一定满足物理规律或实际情况,注意发生碰撞条件的灵活应用.
练习册系列答案
相关题目