题目内容
如图所示,一个可忽略重力不计的带电量为q微粒,从两偏转极板的中间点O垂直进入一个偏转电场.偏转电场两个极板所加电压为U,偏转板板的长度为L,两极板间的距离为d.求:(1)若微粒能穿出偏转电场,带电微粒穿过偏转电场所用的时间是多少?
(2)若微粒能穿出偏转电场,带电微粒的偏转位移y是多少?
(3)要使微粒能穿出偏转板,偏转电压U至少为多少?
【答案】分析:(1)(2)带电微粒在偏转电场中只受电场力作用,做类平抛运动,运用运动的分解法研究:在水平方向微粒做匀速直线运动,在竖直方向做匀加速直线运动,根据牛顿第二定律和运动学公式结合求解时间和偏转位移y.
(3)微粒恰好从下边缘飞出电场时,此时偏转的距离为
,牛顿第二定律和运动学公式结合求解U的最小值.
解答:解:(1)带电微粒在偏转电场中只受电场力作用,做类平抛运动.在水平方向微粒做匀速直线运动.
带电微粒穿过偏转电场所用的时间是 t=
(2)带电微粒在竖直方向做匀加速直线运动,加速度为a,出电场时竖直方向速度为v2
竖直方向:a=
=
带电微粒的偏转位移y=
=
(3)微粒恰好从下边缘飞出电场时,此时偏转的距离为
,
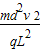
则有
=
解得,U=
故要使微粒能穿出偏转板,偏转电压U至少为
.
答:(1)若微粒能穿出偏转电场,带电微粒穿过偏转电场所用的时间是
.
(2)若微粒能穿出偏转电场,带电微粒的偏转位移y为
.
(3)要使微粒能穿出偏转板,偏转电压U至少为
.
点评:本题的解题关键是掌握类平抛运动的分解方法:水平方向匀速直线运动,竖直方向初速度为零的匀加速直线运动,根据牛顿第二定律和运动学公式结合进行求解.
(3)微粒恰好从下边缘飞出电场时,此时偏转的距离为
解答:解:(1)带电微粒在偏转电场中只受电场力作用,做类平抛运动.在水平方向微粒做匀速直线运动.
带电微粒穿过偏转电场所用的时间是 t=
(2)带电微粒在竖直方向做匀加速直线运动,加速度为a,出电场时竖直方向速度为v2
竖直方向:a=
带电微粒的偏转位移y=
(3)微粒恰好从下边缘飞出电场时,此时偏转的距离为
则有
解得,U=
故要使微粒能穿出偏转板,偏转电压U至少为
答:(1)若微粒能穿出偏转电场,带电微粒穿过偏转电场所用的时间是
(2)若微粒能穿出偏转电场,带电微粒的偏转位移y为
(3)要使微粒能穿出偏转板,偏转电压U至少为
点评:本题的解题关键是掌握类平抛运动的分解方法:水平方向匀速直线运动,竖直方向初速度为零的匀加速直线运动,根据牛顿第二定律和运动学公式结合进行求解.
练习册系列答案
相关题目