题目内容
我国绕月探测工程的研究和实施工作已取得重要进展.设地球、月球的质量分别为m1,m2,半径分别为R1、R2,人造地球卫星的第一宇宙速度为v,对应的环绕周期为T,则环绕月球表面附近圆轨道飞行的探测器的速度和周期分别为( )A.
B.
C.
D.
【答案】分析:第一宇宙速度是贴着星球表面做匀速圆周运动的速度,根据万有引力提供向心力求出环绕月球表面附近圆轨道飞行的探测器的速度和周期.
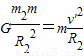
解答:解:根据:
=
解得:
,T′=
.
又人造地球卫星的第一宇宙速度为v,有:
所以有:v′=
.
又因:
,所以有:T′=
.故A正确,B、C、D错误.
故选A.
点评:解决本题的关键掌握万有引力提供向心力及其公式
=
.
解答:解:根据:
解得:
又人造地球卫星的第一宇宙速度为v,有:
所以有:v′=
又因:
故选A.
点评:解决本题的关键掌握万有引力提供向心力及其公式
练习册系列答案
相关题目