某种产品的广告费用支出x万元与销售额y万元之间有如下的对应数据:
(1)画出上表数据的散点图;
(2)根据上表提供的数据,求出y关于x的线性回归方程;
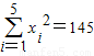
(3)据此估计广告费用为10万元时,所得的销售收入.(参考数值:
,
,)
| x | 2 | 4 | 5 | 6 | 8 |
| y | 20 | 30 | 50 | 50 | 70 |
(2)根据上表提供的数据,求出y关于x的线性回归方程;
(3)据此估计广告费用为10万元时,所得的销售收入.(参考数值:
| 组号 | 分组 | 频数 | 频率 |
| 第1组 | [160,165) | 5 | 0.050 |
| 第2组 | [165,170) | ① | 0.350 |
| 第3组 | [170,175) | 30 | ② |
| 第4组 | [175,180) | 20 | 0.200 |
| 第5组 | [180,185) | 10 | 0.100 |
| 合计 | 100 | 1.00 | |
(2)为了能选拔出最优秀的学生,高校决定在笔试成绩高的第3、4、5组中用分层抽样抽取6名学生进入第二轮面试,求第3、4、5组每组各抽取多少名学生进入第二轮面试?
(3)在(2)的前提下,学校决定在6名学生中随机抽取2名学生接受A考官进行面试,求:第4组至少有一名学生被考官A面试的概率?