给出下列个两个命题:命题p1:y=ln[(1-x)(1+x)]为偶函数;命题p2:函数
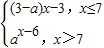
是奇函数,则下列命题是假命题的是( )
A.p1∧p2
B.p1∨¬p2
C.p1∨p2
D.p1∧¬p2
E.p1∧¬p2
0 75212 75220 75226 75230 75236 75238 75242 75248 75250 75256 75262 75266 75268 75272 75278 75280 75286 75290 75292 75296 75298 75302 75304 75306 75307 75308 75310 75311 75312 75314 75316 75320 75322 75326 75328 75332 75338 75340 75346 75350 75352 75356 75362 75368 75370 75376 75380 75382 75388 75392 75398 75406 266669
A.p1∧p2
B.p1∨¬p2
C.p1∨p2
D.p1∧¬p2
E.p1∧¬p2