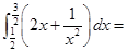
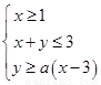
0  74205  74213  74219  74223  74229  74231  74235  74241  74243  74249  74255  74259  74261  74265  74271  74273  74279  74283  74285  74289  74291  74295  74297  74299  74300  74301  74303  74304  74305  74307  74309  74313  74315  74319  74321  74325  74331  74333  74339  74343  74345  74349  74355  74361  74363  74369  74373  74375  74381  74385  74391  74399  266669 

违法和不良信息举报电话:027-86699610 举报邮箱:58377363@163.com

精英家教网