点M(x,y)是不等式组表示的平面区域内的一动点,使y的值取得最小的点为,则为坐标原点)的取值范围是__________
已知实数x、y满足约束条件的取值范围是 .
.若实数满足,则的最大值为_______,最小值为______.
已知点P(x,y)满足条件的最大值为8,则_____________.
.在平面直角坐标系中,已知集合,则集合表示的平面区域的面积为 .
某所学校计划招聘男教师名,女教师名, 和须满足约束条件 则该校招聘的教师最多是 名.
若,则的最大值是__________;
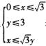
.已知点在不等式组表示的平面区域内,则点到直线距离的最大值为____________.
如果实数、满足条件,那么的最大值为
已知,式中变量,满足约束条件,则的最大值为____