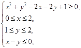
已知实数
满足
的最大值为( )
| A.—3 | B.—2 | C.1 | D.2 |
已知x、y满足约束条件
, 则
的最小值为( )
| A.-15 | B.-20 | C.-25 | D.-30 |
已知变量
满足约束条件
则
的最大值为 ( )
| A. | B. | C. | D. |
若
满足约束条件
,目标函数
仅在点(1,0)处取得最小值,则
的取值范围是( )
| A.( | B. | C. | D.( ,2) |
在线性约束条件
下,目标函数
的最小值是.
| A. 9 | B.2 | C.3 | D.4 |
已知实数
满足
的最大值为( )
| A.—3 | B.—2 | C.1 | D.2 |
已知x、y满足约束条件
, 则
的最小值为( )
| A.-15 | B.-20 | C.-25 | D.-30 |
已知变量
满足约束条件
则
的最大值为 ( )
| A. | B. | C. | D. |
若
满足约束条件
,目标函数
仅在点(1,0)处取得最小值,则
的取值范围是( )
| A.( | B. | C. | D.( ,2) |
在线性约束条件
下,目标函数
的最小值是.
| A. 9 | B.2 | C.3 | D.4 |