若
,
,
,则( )
| A. | B. | C. | D. |
为第一象限角是
的 ( )
| A.充分不必要条件 | B.必要不充分条件 |
| C.充要条件 | D.既不充分也不必要条件 |
函数
=
(
为常数),若f(x)在(0,+∞)上有最大值10,则
在
上有( )
| A.最大值10 | B.最小值-5 | C.最小值-4 | D.最大值9 |
下列各式中,值为
的是( )
A.![]() | B. |
| C. | D. |
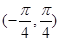
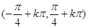
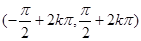
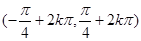
若
,
,
,则( )
| A. | B. | C. | D. |
函数
图象的一条对称轴为
,则实数
的值为( )
| A.1 | B.-1 | C. | D. |
不等式
的解集为( )
| A. | B. |
| C. | D. |
