函数
是
| A.最小正周期是π的偶函数 | B.最小正周期是π的奇函数 |
| C.最小正周期是2π的偶函数 | D.最小正周期是2π的奇函数 |
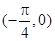
函数
(其中
)的图象如图所示,为了得到
的图像,则只需将
的图像 ![]()
| A.向右平移 | B.向右平移 |
| C.向左平移 | D.向左平移 |
已知函数①
,②
,则下列结论正确的是
| A.两个函数的图象均关于点 |
| B.两个函数的图象均关于直线 |
| C.两个函数在区间 |
| D.两个函数的最小正周期相同 |
将
的图像向右平移
个单位长度后,与
的图像重合,则
的最小值为( )
| A. | B. | C. | D. |
将
的图像向右平移
个单位长度后,与
的图像重合,则
的最小值为( )
| A. | B. | C. | D. |
设
的三内角为
,向量
,若
,则角C= ( )
| A. | B. | C. | D. |
若
则
( )
| A. | B. | C. 1 | D.不存在 |
已知在
中,
,这个三角形的最大角是 ( )
| A.135° | B.90° | C.120° | D.150° |
函数
的最大值为 ( )
| A.2 | B. | C. 1 | D. |