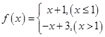
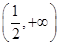
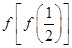
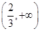
已知
,则
( )
| A. | B. | C. | D. |
设
, 用二分法求方程
内近似解的过程中, 计算得到
则方程的根落在区间( )
| A.(1,1.25) | B.(1.25,1.5) |
| C.(1.5,2) | D.不能确定 |
的值等于( )
| A. | B. | C. | D. |
下列四个图象中,是函数图象的是![]()
| A.(1) | B.(1)、(3)、(4) | C.(1)、(2)、(3) | D.(3)、(4) |
若
,则函数
的图象一定过点 ( )
| A. (0,1) | B. (1,1) | C. (1,0) | D. (0,-1) |
函数
(
为自然对数的底数)对任意实数
、
,都有( )
| A. | B. |
| C. | D. |
已知
,那么
的值是( )
| A. | B. | C. | D. |
函数
的定义域是( )
| A. | B. | C. | D. |