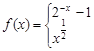
已知函数
,则
的值为( )
| A.1 | B.2 | C.-1 | D.-2 |
函数
,则函数
在区间
上的值域是( )
| A. | B. | C. | D. |
对于函数f(x)=asinx+bx+c(其中,a,b
R,c
Z),选取a,b,c的一组值计算f(1)和f(-1),所得出的正确结果一定不可能是
| A.4和6 | B.3和1 | C.2和4 | D.1和2 |
根据统计,一名工作组装第4件某产品所用的时间(单位:分钟)为
(A,C为常数)。已知工人组装第4件产品用时30分钟,组装第A件产品用时15分钟,那么C和A的值分别是
| A.75,25 | B.75,16 | C.60,25 | D.60,16 |
已知点
。若点
在函数
的图象上,则使得
的面积为2的点
的个数为
| A.4 | B.3 | C.2 | D.1 |
如果
,那么
| A. | B. | C. | D. |
如果函数![]()
没有零点,则
的取值范围为 ( )
| A. | B. |
| C. | D. |
设函数
,若
,则
的取值范围是( )
| A. | B. |
| C.( | D. |