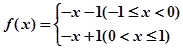
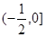
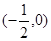
已知函数
,则
的解集为( )
| A. | B. |
| C. | D. |
方程
在区间
上有解,则实数
的取值范围是( )
| A. | B.(1,+ | C.(- | D. |
函数
的值域为( )
| A. | B. | C. | D. |
下列函数中,与函数
相同的是( )
| A. | B.![]() | C. | D. |
若
,则
的定义域为( )
| A. | B. | C. | D. |
函数
的最大值是( )
| A.6 | B.8 | C.10 | D.18 |
函数f(x)=(a2-1)x在R上是减函数,则a的取值范围是( )
| A. | B. | C.a< | D.1< |
函数
的值域为( )
| A. | B. | C. | D. |
函数
的定义域是 ( )
| A. | B. | C. | D. |
对任意实数
规定
取
三个值中的最小值,则函数
( )
| A.有最大值2,最小值1, | B.有最大值2,无最小值, |
| C.有最大值1,无最小值, | D.无最大值,无最小值。 |
