搜索
(2010•合肥模拟)已知正方体ABCD-A
1
B
1
C
1
D
1
的棱长为2,E、F、G分别是AB、BC、B
1
C
1
的中点.下列说法正确的是
①②③
①②③
(写出所有正确命题的编号).
①P在直线EF上运动时,GP始终与平面AA
1
C
1
C平行;
②点Q在直线BC
1
上运动时,三棱锥A-D
1
QC的体积不变;
③点M是平面A
1
B
1
C
1
D
1
上到点D和C
1
距离相等的点,则点M的轨迹是一条的直线;
④以正方体ABCD-A
1
B
1
C
1
D
1
的任意两个顶点为端点连一条线段,其中与棱AA
1
异面的有10条.
(2010•合肥模拟)已知a是函数f(x)=x-1的零点,b=lg4+2lg5+3,正数m,n满足m+n=2,则
a
m
+
b
n
的最小值为
3+
5
3+
5
.
(2010•合肥模拟)实数x,y满足
y≥x
x+2y-4≤
x+1≥0
0
,则z=x+y的取值范围为
[-2,
8
3
]
[-2,
8
3
]
.
(2010•合肥模拟)已知等差数列{a
n
}的前n项和为S
n
,a
1
+a
3
=10,a
6
=11,则S
7
=
56
56
.
(2010•合肥模拟)甲、乙两个小组各5名同学数学测试成绩的茎叶图如图所示:记甲、乙两组中数学测试成绩的标准差分别为S
甲
,S
乙
,则S
甲
,S
乙
的大小关系为
S
甲
<S
乙
S
甲
<S
乙
.
(2010•合肥模拟)从甲、乙、丙、丁四个人中任选两人,分别担任班长、副班长,甲、乙两人都不担任班长的概率为( )
A.
1
12
B.
11
12
C.
1
6
D.
1
2
对于平面
和直线
、
下列命题中真命题是
A.若
则
B.若
则
C.若
则
D.若
、
与
所成的角相等,则
(2010•合肥模拟)在边长为3的正三角形ABC中,点M、N分别满足
AM
=-2
BM
,2
BN
=
NC
,则
|
CM
+
AN
|
=( )
A.
3
B.
2
C.
2
2
D.
2
3
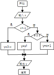
执行如图所示的程序框图,若输出的y值的范围为[0,4],则输入的x的值的范围为( )
A、[-1,2]
B、[-1,3]
C、[0,2]
D、[-2,2]
给出下列四个命题,其中真命题的是( )
A、命题“若x
2
=4,则x=2或x=-2”的逆否命题是“若x≠2或x≠-2则x
2
≠4”
B、“a>b”是“a
n
>b
n
(n∈N
+
)”成立的必要不充分条件
C、若命题p:所有幂函数的图象都不过第四象限;命题q:所有抛物线的离心率都为1,则命题p∧q为真
D、若命题p:?x∈R,x
2
-2x+3>0,则?p:?x∈R,x
2
-2x+3<0
0
47520
47528
47534
47538
47544
47546
47550
47556
47558
47564
47570
47574
47576
47580
47586
47588
47594
47598
47600
47604
47606
47610
47612
47614
47615
47616
47618
47619
47620
47622
47624
47628
47630
47634
47636
47640
47646
47648
47654
47658
47660
47664
47670
47676
47678
47684
47688
47690
47696
47700
47706
47714
266669
关 闭
试题分类
高中
数学
英语
物理
化学
生物
地理
初中
数学
英语
物理
化学
生物
地理
小学
数学
英语
其他
阅读理解答案
已回答习题
未回答习题
题目汇总
试卷汇总
练习册解析答案