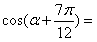
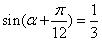
0 17818 17826 17832 17836 17842 17844 17848 17854 17856 17862 17868 17872 17874 17878 17884 17886 17892 17896 17898 17902 17904 17908 17910 17912 17913 17914 17916 17917 17918 17920 17922 17926 17928 17932 17934 17938 17944 17946 17952 17956 17958 17962 17968 17974 17976 17982 17986 17988 17994 17998 18004 18012 266669