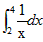
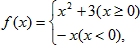
0 17054 17062 17068 17072 17078 17080 17084 17090 17092 17098 17104 17108 17110 17114 17120 17122 17128 17132 17134 17138 17140 17144 17146 17148 17149 17150 17152 17153 17154 17156 17158 17162 17164 17168 17170 17174 17180 17182 17188 17192 17194 17198 17204 17210 17212 17218 17222 17224 17230 17234 17240 17248 266669