题目内容
函数
与函数
恒有两不同的交点,则
的取值范围是
.
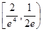
【答案】
![]()
【解析】
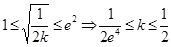
试题分析:
,令
,则
,于是
,又
,
,
,所以
.
考点:1.求导的公式与法则;2.函数的极值最值.
练习册系列答案
相关题目
题目内容
函数
与函数
恒有两不同的交点,则
的取值范围是
.
![]()
【解析】
试题分析:
,令
,则
,于是
,又
,
,
,所以
.
考点:1.求导的公式与法则;2.函数的极值最值.