题目内容
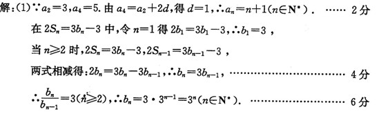
数列{an}是等差数列且a2=3,a4=5;数列{bn}的前n项和为Sn,且2Sn=3bn-3 (n
N*).
(1)求数列{ an },{ bn }的通项公式;
(2)求数列{ an
bn }的前n项和Tn.
练习册系列答案
相关题目
题目内容
数列{an}是等差数列且a2=3,a4=5;数列{bn}的前n项和为Sn,且2Sn=3bn-3 (n
N*).
(1)求数列{ an },{ bn }的通项公式;
(2)求数列{ an
bn }的前n项和Tn.