题目内容


如图所示,直三棱柱ABCA1B1C1,在底面△ABC中,CACB=1,∠BCA=90°,棱AA1=2,MN分别是A1B1A1A的中点.

(1)求BN的长;

(2)求异面直线BA1CB1所成角的余弦值;

(3)求证:A1BC1M.


[解析] 

如图所示,以C为原点建立空间直角坐标系Cxyz.

(1)依题意得B(0,1,0),N(1,0,1).

BN的长为.

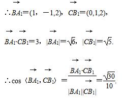
(2)依题意得A1(1,0,2),B(0,1,0),C(0,0,0),B1(0,1,2),

∴异面直线BA1CB1所成角的余弦值为.

(3)依题意得C1(0,0,2),M(,2),

=(-1,1,-2),=(,0).

·=-+0=0.

A1BC1M.

练习册系列答案
相关题目

违法和不良信息举报电话:027-86699610 举报邮箱:58377363@163.com

精英家教网