题目内容
他们研究过图1中的1,3,6,10,…,由于这些数能够表示成三角形,将其称为三角形数;类似地,称图2中的1,4,9,16…这样的数成为正方形数.下列数中既是三角形数又是正方形数的是( )
A.289
B.1024
C.1225
D.1378
【答案】分析:根据图形观察归纳猜想出两个数列的通项公式,再根据通项公式的特点排除,即可求得结果.
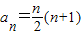
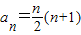
解答:解:由图形可得三角形数构成的数列通项
,
同理可得正方形数构成的数列通项bn=n2,
则由bn=n2(n∈N+)可排除D,又由
,
与
无正整数解,
故选C.
点评:考查学生观察、分析和归纳能力,并能根据归纳的结果解决分析问题,注意对数的特性的分析,属中档题.
解答:解:由图形可得三角形数构成的数列通项
同理可得正方形数构成的数列通项bn=n2,
则由bn=n2(n∈N+)可排除D,又由
故选C.
点评:考查学生观察、分析和归纳能力,并能根据归纳的结果解决分析问题,注意对数的特性的分析,属中档题.
练习册系列答案
相关题目