题目内容
如图,A、B是海面上位于东西方向相距5(3+
)海里的两个观测点,现位于点A北偏东45°,点B北偏西60°的点D有一艘轮船发出求救信号,位于点B南偏西60°且与点B相距20
海里的点C的救援船立即前往营救,其航行速度为30海里/小时,该救援船到达点D需要多长时间?
解:由题意知AB=5(3+
)海里,
∠DBA=90°-60°=30°,∠DAB=45°,
∴∠ADB=105°,
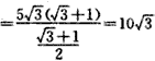
在△DAB中,由正弦定理,得
,
∴

(海里),
又∠DBC=∠DBA+∠ABC-30°+(90°-60°)=60°,BC=20
海里,
在△DBC中,由余弦定理,得
CD2=BD2+BC2-2BD·BC·cos∠DBC
,
∴CD=30海里,
则需要的时间
(小时),
即救援船到达点D需要1小时.
∠DBA=90°-60°=30°,∠DAB=45°,
∴∠ADB=105°,
在△DAB中,由正弦定理,得
∴
又∠DBC=∠DBA+∠ABC-30°+(90°-60°)=60°,BC=20
在△DBC中,由余弦定理,得
CD2=BD2+BC2-2BD·BC·cos∠DBC
∴CD=30海里,
则需要的时间
即救援船到达点D需要1小时.
练习册系列答案
相关题目