题目内容
设a∈R,f(x)=cosx(asinx-cosx)+cos2(
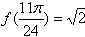
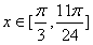
-x)满足f(-
)=f(0),求函数f(x)在
上的最大值和最小值。
解:f(x)=asinxcosx-cos2x+sin2x
=
由
得
解得
因此
当
时,
,f(x)为增函数
当
时,
,f(x)为减函数
所以f(x)在
上最大值为
又因
故f(x)在
上的最小值为
。
=
由
得
解得
因此
当
当
所以f(x)在
又因
故f(x)在
练习册系列答案
相关题目