题目内容
设等比数列{an}的公比q=2,前n项和为Sn,则A.
B.
C.
D.
【答案】分析:由公比q=2,根据等比数列的前n项和公式表示出S4,利用等比数列的通项公式表示出a3,代入所求的式子中即可求出值.
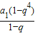
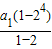
解答:解:∵S4=
=
=15a1,a3=a1q2=4a1,
∴
=
=
.
故选A
点评:此题考查学生灵活运用等比数列的通项公式及前n项和公式化简求值,掌握等比数列的性质,是一道基础题.
解答:解:∵S4=
∴
故选A
点评:此题考查学生灵活运用等比数列的通项公式及前n项和公式化简求值,掌握等比数列的性质,是一道基础题.
练习册系列答案
相关题目
设等比数列{an}的前n项和为Sn,若8a2+a5=0,则下列式子中数值不能确定的是( )
A、
| ||
B、
| ||
C、
| ||
D、
|
设等比数列{an}的前n项和为Sn,若
=3,则
=( )
| S6 |
| S3 |
| S9 |
| S6 |
A、
| ||
B、
| ||
C、
| ||
| D、1 |