题目内容
3.直线y=kx-1与曲线y=-$\sqrt{1-(x-2)^{2}}$有交点,则k的取值范围是[0,$\frac{1}{3}$].分析 作直线y=kx-1与曲线y=-$\sqrt{1-(x-2)^{2}}$的图象,从而结合图象解得.
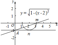
解答 解:作直线y=kx-1与曲线y=-$\sqrt{1-(x-2)^{2}}$的图象如下,
,
直线m的斜率k=$\frac{0+1}{3-0}$=$\frac{1}{3}$,直线n的斜率k=0,
结合图象可知,k的取值范围是[0,$\frac{1}{3}$].
故答案为:[0,$\frac{1}{3}$].
点评 本题考查了数形结合的思想应用.
练习册系列答案
相关题目
15.下列各组函数是同一函数的是( )
| A. | y=1,y=$\frac{x}{x}$ | B. | y=$\sqrt{x-1}$×$\sqrt{x+1}$,y=$\sqrt{{x}^{2}-1}$ | ||
| C. | y=|x|,y=($\sqrt{x}$)2 | D. | y=x,y=$\root{3}{{x}^{3}}$ |