题目内容
已知f(x)=(1)求函数f(x)的定义域、值域.
(2)讨论f(x)的单调性.
【答案】分析:(1)对于任意实数x,都有2x>0,进而可得函数解析式恒有意义,即可得到函数f(x)的定义域;由f(x)=1-
,结合指数函数的值域利用分析法,可求出值域.
(2)任取实数x1<x2,判断f(x1)-f(x2)的符号,进而根据函数单调性的定义,可得答案.
解答:解:(1)∵?x∈R,都有2x>0,
∴2x+1>1,
故函数f(x)=
的定义域为实数集R.
∵f(x)=
=1-
,
而2x>0,
∴2x+1>1,
∴0<
<2,
∴-2<-
<0,
∴-1<1-
<1.
即-1<f(x)<1.
∴函数f(x)的值域为(-1,1).
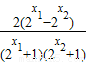
(3)?x1<x2,
则f(x1)-f(x2)=1-
-(1-
)=
,
∵2>1,∴2x1+1>0,2x2+1>0,2x1-2x2<0,
∴f(x1)<f(x2),
∴函数f(x)在实数集R上单调递增.
点评:本题综合考查了函数的定义域、值域及单调性,熟练掌握以上知识及方法是解决问题的关键.
(2)任取实数x1<x2,判断f(x1)-f(x2)的符号,进而根据函数单调性的定义,可得答案.
解答:解:(1)∵?x∈R,都有2x>0,
∴2x+1>1,
故函数f(x)=
∵f(x)=
而2x>0,
∴2x+1>1,
∴0<
∴-2<-
∴-1<1-
即-1<f(x)<1.
∴函数f(x)的值域为(-1,1).
(3)?x1<x2,
则f(x1)-f(x2)=1-
∵2>1,∴2x1+1>0,2x2+1>0,2x1-2x2<0,
∴f(x1)<f(x2),
∴函数f(x)在实数集R上单调递增.
点评:本题综合考查了函数的定义域、值域及单调性,熟练掌握以上知识及方法是解决问题的关键.
练习册系列答案
相关题目