题目内容
在平面直角坐标系中,已知点(Ⅰ)求动点M的轨迹E的方程;
(Ⅱ)设点P是轨迹E上的动点,点R,N在y轴上,圆C:(x-1)2+y2=1内切于△PRN,求△PRN的面积的最小值.
【答案】分析:(1)设点M的坐标为(x,y),由题设知,|MB|=|MA|.根据抛物线的定义可知点M的轨迹为抛物线,根据焦点和准线方程,则可得抛物线方程.
(2)设P(x,y),R(0,b),N(0,c),且b>c,则直线PR的方程可得,由题设知,圆心(1,0)到直线PR的距离为1,把x,y代入化简整理可得(x-2)b2+2yb-x=0,同理可得(x-2)c2+2yc-x=0,进而可知b,c为方程(x-2)x2+2yx-x=0的两根,根据求根公式,可求得b-c,进而可得△PRN的面积的表达式,根据均值不等式可知当当x=4时面积最小,进而求得点P的坐标.
解答:解:(Ⅰ)设点M的坐标为(x,y),由题设知,|MB|=|MA|.
所以动点M的轨迹E是以
为焦点,
为准线的抛物线,其方程为y2=2x;
(Ⅱ)设P(x,y),R(0,b),N(0,c),且b>c,
故直线PR的方程为(y-b)x-xy+xb=0.
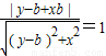
由题设知,圆心(1,0)到直线PR的距离为1,
即
.
注意到x>2,化简上式,得(x-2)b2+2yb-x=0,
同理可得(x-2)c2+2yc-x=0.
由上可知,b,c为方程(x-2)x2+2yx-x=0的两根,
根据求根公式,可得
.
故△PRN的面积为
,
等号当且仅当x=4时成立.此时点P的坐标为
或
.
综上所述,当点P的坐标为
或
时,△PRN的面积取最小值8.
点评:本题主要考查了抛物线的标准方程和直线与抛物线的关系.直线与圆锥曲线的问题常涉及到圆锥曲线的性质和直线的基本知识点,如直线被圆锥曲线截得的弦长、弦中点问题,垂直问题,对称问题.与圆锥曲线性质有关的量的取值范围等是近几年命题的新趋向.
(2)设P(x,y),R(0,b),N(0,c),且b>c,则直线PR的方程可得,由题设知,圆心(1,0)到直线PR的距离为1,把x,y代入化简整理可得(x-2)b2+2yb-x=0,同理可得(x-2)c2+2yc-x=0,进而可知b,c为方程(x-2)x2+2yx-x=0的两根,根据求根公式,可求得b-c,进而可得△PRN的面积的表达式,根据均值不等式可知当当x=4时面积最小,进而求得点P的坐标.
解答:解:(Ⅰ)设点M的坐标为(x,y),由题设知,|MB|=|MA|.
所以动点M的轨迹E是以
(Ⅱ)设P(x,y),R(0,b),N(0,c),且b>c,
故直线PR的方程为(y-b)x-xy+xb=0.
由题设知,圆心(1,0)到直线PR的距离为1,
即
注意到x>2,化简上式,得(x-2)b2+2yb-x=0,
同理可得(x-2)c2+2yc-x=0.
由上可知,b,c为方程(x-2)x2+2yx-x=0的两根,
根据求根公式,可得
故△PRN的面积为
等号当且仅当x=4时成立.此时点P的坐标为
综上所述,当点P的坐标为
点评:本题主要考查了抛物线的标准方程和直线与抛物线的关系.直线与圆锥曲线的问题常涉及到圆锥曲线的性质和直线的基本知识点,如直线被圆锥曲线截得的弦长、弦中点问题,垂直问题,对称问题.与圆锥曲线性质有关的量的取值范围等是近几年命题的新趋向.
练习册系列答案
相关题目