题目内容
在锐角△ABC中,角A、B、C的对边分别为a、b、c,若
【答案】分析:由
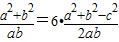
+
=6cosC,结合余弦定理可得,
,而化简
+
=
=
,代入可求
解答:解:∵
+
=6cosC,
由余弦定理可得,
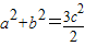
∴
则
+
=
=
=
=
=
=
=
故答案为:4
点评:本题主要考查了三角形的 正弦定理与余弦定理的综合应用求解三角函数值,属于基本公式的综合应用.
解答:解:∵
由余弦定理可得,
∴
则
=
=
故答案为:4
点评:本题主要考查了三角形的 正弦定理与余弦定理的综合应用求解三角函数值,属于基本公式的综合应用.
练习册系列答案
相关题目