题目内容

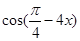
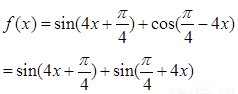
已知函数.

(1)求函数的最大值;

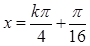
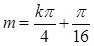
(2)若直线是函数的对称轴,求实数的值.

 

【答案】

(1)最大值是2;(2).

【解析】

试题分析:本题考查三角函数式的化简、三角函数的最值以及三角函数图像的对称轴等基础知识,考查运用三角公式进行恒等变换的能力和计算能力,考查数形结合思想.第一问,通过观察,是互余关系,所以利用诱导公式将变成,从而化简了函数解析式,利用的有界性,求出函数的最大值;第二问,通过数形结合,利用的对称轴,列出关系式,解出,即的值.

试题解析:(1)

,         3分

所以的最大值是2.         5分

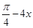
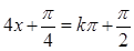
(2)令,       7分

,      9分

而直线是函的对称轴,所以   10分

考点:1.诱导公式;2.三角函数最值;3.三角函数图像的对称轴.

 

练习册系列答案
相关题目

违法和不良信息举报电话:027-86699610 举报邮箱:58377363@163.com

精英家教网