题目内容

如图,在直三棱柱ABC-A1B1C1中,∠BAC=90°,AB=AC=AA1=1,延长A1C1至点P,使C1P=A1C1,连接AP交棱CC1于D。
(Ⅰ)求证:PB1∥平面BDA1
(Ⅱ)求二面角A-A1D-B的平面角的余弦值。
解:(Ⅰ)连结AB1与BA1交于点O,连结OD,
∵C1D∥平面AA1,A1C1∥AP,
∴AD=PD,又AO=B1O,
∴OD∥PB1
又OD面BDA1,PB1面BDA1
∴PB1∥平面BDA1
 
 (Ⅱ)过A作AE⊥DA1于点E,连结BE
∵BA⊥CA,BA⊥AA1,且AA1∩AC=A,
∴BA⊥平面AA1C1C
由三垂线定理可知BE⊥DA1
∴∠BEA为二面角A-A1D-B的平面角
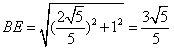
在Rt△A1C1D中,


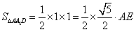
在Rt△BAE中,
故二面角A-A1D-B的平面角的余弦值为
 
练习册系列答案
相关题目

违法和不良信息举报电话:027-86699610 举报邮箱:58377363@163.com

精英家教网