题目内容
某分公司经销某种品牌的产品,每件产品的成本为3元,并且每件产品需向总公司交a(3≤a≤5)元的管理费,预计当每件产品的售价为x(9≤x≤11)元时,一年的销售量为(12-x)2万件。
(1)求分公司一年的利润L(万元)与每件产品的售价x的函数关系式;
(2)当每件产品的售价为多少元时,分公司一年的利润L最大,并求出L的最大值Q(a)。
(1)求分公司一年的利润L(万元)与每件产品的售价x的函数关系式;
(2)当每件产品的售价为多少元时,分公司一年的利润L最大,并求出L的最大值Q(a)。
解:(1)分公司一年的利润L(万元)与售价x的函数关系式为:L=(x-3-a)(12-x)2,
x∈[9,11]。
(2)L′(x)=(12-x)2-2(x-3-a)(12-x)=(12-x)(18+2a-3x)
令L′(x)=0得x=6+
a或x=12(不合题意,舍去)
∵3≤a≤5,
∴8≤6+
a≤
在x=6+
a两侧L′的值由正值变负值
所以,当8≤6+
a≤9,
即3≤a≤
时,Lmax=L(9)=(9-3-a)(12-9)2=9(6-a);
当9<6+
a≤
,即
<a≤5时,Lmax=L(6+
a)=(6+
a-3-a)[12-(6+
a)]2=4(3-
a)3,

即当3≤a≤
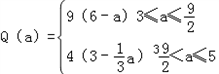
时,当每件售价为9元,分公司一年的利润L最大,最大值Q(a)=9(6-a)万元;
当
<a≤5时,当每件售价为(6+
a)元,分公司一年的利润L最大,最大值Q(a)=4(3-
a)3万元。
x∈[9,11]。
(2)L′(x)=(12-x)2-2(x-3-a)(12-x)=(12-x)(18+2a-3x)
令L′(x)=0得x=6+
∵3≤a≤5,
∴8≤6+
在x=6+
所以,当8≤6+
即3≤a≤
当9<6+
即当3≤a≤
当
练习册系列答案
相关题目