题目内容

设△ABC的内角A,B,C所对的边分别为a,b,c且.

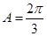
(Ⅰ)求角A的大小;

(Ⅱ)若a=1,求△ABC的周长的取值范围.

 

【答案】

(Ⅰ);(Ⅱ)

【解析】

试题分析:(Ⅰ)由 再通过边化角,再结合.即可求得A的值.

(Ⅱ)求周长的范围,先把线段b,c表示出来再结合三角函数的知识可求得周长的范围.由正弦定理表示,.周长.又有B的范围求出周长的范围.本题主要是解三角形的知识,结合三角函数的知识求最值的问题.属于常规题型.

试题解析:(Ⅰ)由.又.所以.因为.所以.又因为.

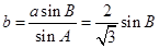
(Ⅱ)有正弦定理得. ...因为.所以.所以的周长的取值范围为.

考点:1.解三角形中的边化角的思维.2.正弦定理.3.三角函数的求最值.

 

练习册系列答案
相关题目

违法和不良信息举报电话:027-86699610 举报邮箱:58377363@163.com

精英家教网