题目内容
函数f(x)=2cos2x+asinxcosx,f
=0.
(Ⅰ)求实数a;
(Ⅱ)求函数f(x)的最小正周期及单调增区间;
(III)若函数f(x)的图象按向量m=
平移后,得到一个函数g(x)的图象,求g(x)的解析式.
(Ⅰ)求实数a;
(Ⅱ)求函数f(x)的最小正周期及单调增区间;
(III)若函数f(x)的图象按向量m=
解:(Ι)由题意,f
=2×
+a×
×
=0,
∴a=﹣2
.
(ΙΙ)函数f(x)=2cos2x+asinxcosx
=(cos2x+1)﹣
sin2x
=2cos(2x+
)+1,
故最小正周期T=
.
令 2kπ﹣π≤2x+
≤2kπ,k∈z,
解得 kπ﹣
≤x≤kπ﹣
,k∈z.
故函数的增区间为[kπ﹣
,kπ﹣
],k∈z.
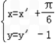
(ΙII)在函数g(x)的图象上任取一点P(x,y),
设该点是由函数f(x)图象上的点 P′(x′,y′)按向量
=(
,﹣1)平移后所得,
则
,∴
.
代入 y′=2cos(2x′+
)+1中可得:y=2cos2x,
∴g(x)=2cos2x.
∴a=﹣2
(ΙΙ)函数f(x)=2cos2x+asinxcosx
=(cos2x+1)﹣
=2cos(2x+
故最小正周期T=
令 2kπ﹣π≤2x+
解得 kπ﹣
故函数的增区间为[kπ﹣
(ΙII)在函数g(x)的图象上任取一点P(x,y),
设该点是由函数f(x)图象上的点 P′(x′,y′)按向量
则
代入 y′=2cos(2x′+
∴g(x)=2cos2x.
练习册系列答案
相关题目