题目内容
已知双曲线C:A.5
B.4
C.3
D.2
【答案】分析:先确定双曲线中的几何量,再利用数量积的定义,余弦定理及双曲线的定义,即可求得结论.
解答:解:∵双曲线的离心率e=
,∴
=
∵2a2=3c,∴a=
,c=2
不妨设P再双曲线的右支上,
、
的夹角为α,|
|=m、
|=n,则
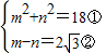
整理得
,①2-②得2mn=18-12
∴mn=3,即|
|
|=3
故选C.
点评:本题考查双曲线的标准方程,考查数量积的定义,余弦定理及双曲线的定义,考查学生的计算能力,属于中档题.
解答:解:∵双曲线的离心率e=
∵2a2=3c,∴a=
不妨设P再双曲线的右支上,
整理得
∴mn=3,即|
故选C.
点评:本题考查双曲线的标准方程,考查数量积的定义,余弦定理及双曲线的定义,考查学生的计算能力,属于中档题.
练习册系列答案
相关题目