题目内容
若双曲线的渐近线方程为
【答案】分析:当焦点在x轴上时,
=
,根据
=
=
求出结果;当焦点在y轴上时,
=
,根据
=
=
求出结果.
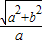
解答:解:由题意可得,当焦点在x轴上时,
=
,∴
=
=
=
.
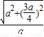
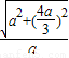
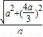
当焦点在y轴上时,
=
,∴
=
=
=
,
故答案为:
或
.
点评:本题考查双曲线的标准方程,以及双曲线的简单性质的应用,体现了分类讨论的数学思想,求出
的值,是解题的关键.
解答:解:由题意可得,当焦点在x轴上时,
当焦点在y轴上时,
故答案为:
点评:本题考查双曲线的标准方程,以及双曲线的简单性质的应用,体现了分类讨论的数学思想,求出
练习册系列答案
相关题目