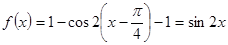
题目内容

将函数的图像向右平移个单位,再向上平移个单位后得到的函数对应的表达式为,则函数的表达式可以是(      )

A..         B..      C..            D..

 

【答案】

C

【解析】

试题分析:因为,所以将其下移一个单位,再向左平移个单位可得到函数的表达式.

考点:三角函数图像的平移变换.

 

练习册系列答案
相关题目

违法和不良信息举报电话:027-86699610 举报邮箱:58377363@163.com

精英家教网