题目内容
已知函数(1)求证:不论a为何实数,f(x)在(-∞,+∞)上均为增函数;
(2)若f(x)为奇函数,求a的值;
(3)在(2)的条件下,求f(x)在区间[1,5]上的最大值和最小值.
【答案】分析:(1)利用单调性的定义:任取x1<x2,通过作差证明f(x1)<f(x2)即可;
(2)因为f(x)为R上的奇函数,所以f(0)=0,由此可求a值;
(3)在(2)的条件下得到f(x)表达式,利用f(x)的单调性即可求出在区间[1,5]上的最大值和最小值.
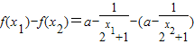
解答:(1)证明:f(x)的定义域为R,任取x1<x2,
则
=
∵x1<x2,∴
,
∴f(x1)-f(x2)<0,即f(x1)<f(x2),
所以,无论a为何实数,f(x)总为增函数.
(2)解:因为f(x)为R上的奇函数,所以f(0)=0,即
解得
.
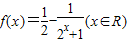
(3)由(2)知,
,
由(1)知f(x)为区间[1,5]上的增函数,
所以f(x)在[1,5]上的最小值为
,最大值为f(5)=
.
点评:本题考查函数的奇偶性、单调性及其应用,定义是解决函数奇偶性、单调性的基本方法.
(2)因为f(x)为R上的奇函数,所以f(0)=0,由此可求a值;
(3)在(2)的条件下得到f(x)表达式,利用f(x)的单调性即可求出在区间[1,5]上的最大值和最小值.
解答:(1)证明:f(x)的定义域为R,任取x1<x2,
则
∵x1<x2,∴
∴f(x1)-f(x2)<0,即f(x1)<f(x2),
所以,无论a为何实数,f(x)总为增函数.
(2)解:因为f(x)为R上的奇函数,所以f(0)=0,即
解得
(3)由(2)知,
由(1)知f(x)为区间[1,5]上的增函数,
所以f(x)在[1,5]上的最小值为
点评:本题考查函数的奇偶性、单调性及其应用,定义是解决函数奇偶性、单调性的基本方法.
练习册系列答案
相关题目