题目内容

已知函数f(x)=mx2+(m-3)x+1的图象的零点至少有一个在原点右侧,求实数m的范围.

解析:对于“形式二次函数”(二次项系数含有字母),要注意对二次项系数是否为零加以讨论.

解:(1)当m=0时,f(x)=-3x+1,直线与x轴的交点为(,0),即函数的零点为,在原点右侧,符合题意.

(2)当m≠0时,∵f(0)=1,

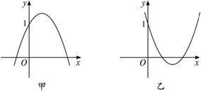
∴抛物线过点(0,1).

    若m<0,f(x)的开口向下,如图甲所示,二次函数的两个零点必然是一个在原点右侧,一个在原点左侧;

    若m>0,f(x)的开口向上,如图乙所示,要使函数的零点在原点右侧,当且仅当

0<m≤1.

    综上所述,所求m的范围是(-∞,1].

练习册系列答案
相关题目

违法和不良信息举报电话:027-86699610 举报邮箱:58377363@163.com

精英家教网