题目内容
已知f(x)在(-1,1)上有定义,f((1)证明:f(x)在(-1,1)上为奇函数;?
(2)对数列x1=
(3)求证
【答案】分析:(1)利用题中条件找出f(-x)=-f(x)即可
(2)找f(xn+1)与f(xn)的关系,得f(xn)的表达式
(3)利用等比数列的求和公式可得不等式的左边,再利用分离常数法把不等式的右边整理即可得结论
解答:(Ⅰ)证明:令x=y=0,∴2f(0)=f(0),∴f(0)=0
令y=-x,则f(x)+f(-x)=f(0)=0
∴f(x)+f(-x)=0∴f(-x)=-f(x)
∴f(x)为奇函数(4分)
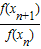
(Ⅱ)解:f(x1)=f(
)=-1,f(xn+1)=f(
)=f(
)=f(xn)+f(xn)=2f(xn)
∴
=2即{f(xn)}是以-1为首项,2为公比的等比数列
∴f(xn)=-2n-1
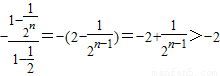
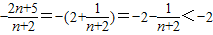
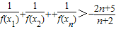
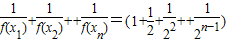
(Ⅲ)解:
=
而
∴
点评:证明抽象函数的奇偶性,须利用函数奇偶性的定义,找准方向,巧妙赋值,合理,灵活变形,找出f(-x)与f(x)的关系.
(2)找f(xn+1)与f(xn)的关系,得f(xn)的表达式
(3)利用等比数列的求和公式可得不等式的左边,再利用分离常数法把不等式的右边整理即可得结论
解答:(Ⅰ)证明:令x=y=0,∴2f(0)=f(0),∴f(0)=0
令y=-x,则f(x)+f(-x)=f(0)=0
∴f(x)+f(-x)=0∴f(-x)=-f(x)
∴f(x)为奇函数(4分)
(Ⅱ)解:f(x1)=f(
∴
∴f(xn)=-2n-1
(Ⅲ)解:
而
∴
点评:证明抽象函数的奇偶性,须利用函数奇偶性的定义,找准方向,巧妙赋值,合理,灵活变形,找出f(-x)与f(x)的关系.
练习册系列答案
相关题目