题目内容
(1)设AD=x,ED=y,求用x表示y的函数关系式;
(2)如果DE是灌溉水管,为节约成本,希望它最短,DE的位置应在哪里?请说明理由.
【答案】分析:(1)在△ADE中,由余弦定理可得x,y,AE之间的关系,然后由S△ADE=
S△ABC,结合面积公式可求x与AE的关系,从而可求
(2)由题意可得y=
,利用基本不等式可求函数的最小值
解答:解:(1)在△ADE中,y2=x2+AE2-2x•AE•cos60°⇒y2=x2+AE2-x•AE,①…(2分)
又
.②…(4分)
②代入①得
),
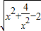
∴y=
(0x≤2)…(8分)
(2)如果DE是水管y=
≥
,…(12分)
当且仅当x2=
,即x=
时“=”成立,…(13分)
故DE∥BC且AD=
时水管的长度最短(15分)
点评:本题主要考查了余弦定理,三角形的面积公式在求解三角形中的应用,及基本不等式在函数的最值求解中的应用,计算虽然简单,但是考查的内容具有较强的综合性
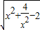
(2)由题意可得y=
解答:解:(1)在△ADE中,y2=x2+AE2-2x•AE•cos60°⇒y2=x2+AE2-x•AE,①…(2分)
又
②代入①得
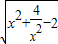
∴y=
(2)如果DE是水管y=
当且仅当x2=
故DE∥BC且AD=
点评:本题主要考查了余弦定理,三角形的面积公式在求解三角形中的应用,及基本不等式在函数的最值求解中的应用,计算虽然简单,但是考查的内容具有较强的综合性
练习册系列答案
相关题目