题目内容
不等式f(x)=
【答案】分析:由
可解得A=(-∞,-2]∪(1,+∞),再将“
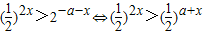
”转化为
利用指数函数的单调性可得x<a从而有B=(-∞,a),最后由A∩B=B等价于B⊆A求解.
解答:解:由
解得x≤-2或x>1
于是A=(-∞,-2]∪(1,+∞).
?2x<a+x?x<a.
所以B=(-∞,a).
因为A∩B=B,
所以B⊆A,
所以a≤-2,即a的取值范围是(-∞,-2].
点评:本题主要考查函数的定义域的求法及利用函数的单调性解不等式和集合间的运算.
解答:解:由
于是A=(-∞,-2]∪(1,+∞).
所以B=(-∞,a).
因为A∩B=B,
所以B⊆A,
所以a≤-2,即a的取值范围是(-∞,-2].
点评:本题主要考查函数的定义域的求法及利用函数的单调性解不等式和集合间的运算.
练习册系列答案
相关题目