题目内容
已知AC、BD为圆O:x
2+y2=4的两条相互垂直的弦,垂足为M(1,
),则四边形ABCD的面积的最大值为________.
解析:设圆心O到AC、BD的距离为d1、d2,垂足分别为E、F,则四边形OEMF为矩形,则有
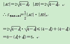
由平面几何知识知
即四边形ABCD的面积的最大值为5.
答案:5
练习册系列答案
相关题目
题目内容
已知AC、BD为圆O:x
2+y2=4的两条相互垂直的弦,垂足为M(1,
),则四边形ABCD的面积的最大值为________.
解析:设圆心O到AC、BD的距离为d1、d2,垂足分别为E、F,则四边形OEMF为矩形,则有
由平面几何知识知
即四边形ABCD的面积的最大值为5.
答案:5