题目内容
设数列{an}的各项均为正数,它的前n项和为Sn(n∈N*),已知点(an,4Sn)在函数f(x)=x2+2x+1的图象上, (1)证明{an}是等差数列,并求an;
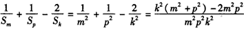
(2)设m、k、p∈N*,m+p=2k,求证:
;
(3)对于(2)中的命题,对一般的各项均为正数的等差数列还成立吗?如果成立,请证明你的结论,如果不成立,请说明理由.
(2)设m、k、p∈N*,m+p=2k,求证:
(3)对于(2)中的命题,对一般的各项均为正数的等差数列还成立吗?如果成立,请证明你的结论,如果不成立,请说明理由.
解:(1)∵
,
∴
,
两式相减得,
,
整理得
,
∵
,
∴
(常数),
∴{an}是以2为公差的等差数列.
又
,即
,
解得a1=1,
∴
。
(2)由(1)知
,
∴
,
由

,
即
。
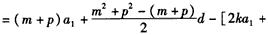
(3)结论成立,
证明如下:设等差数列{an}的首项为a1,公差为d,
则
,
∵


,
把m+p=2k代入上式化简得
,
∴
,
又

∴
,
故原不等式得证.
∴
两式相减得,
整理得
∵
∴
∴{an}是以2为公差的等差数列.
又
解得a1=1,
∴
(2)由(1)知
∴
由
即
(3)结论成立,
证明如下:设等差数列{an}的首项为a1,公差为d,
则
∵
把m+p=2k代入上式化简得
∴
又
∴
故原不等式得证.
练习册系列答案
相关题目