题目内容

为椭圆上的点,是其两个焦点,若,则的面积是            

 

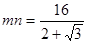
【答案】

【解析】

试题分析:,设,则由椭圆的定义可知,所以,因为,由余弦定理可得,,则,所以

考点:本题考查的主要知识点是椭圆的定义的应用,余弦定理的应用,以及三角形面积公式的掌握.

 

练习册系列答案
相关题目

违法和不良信息举报电话:027-86699610 举报邮箱:58377363@163.com

精英家教网