题目内容

光线从点射出,到轴上的点后,被轴反射,这时反射光线恰好过点,求所在直线的方程及点的坐标.

 

【答案】

直线方程为:.

【解析】

试题分析:先求出点关于轴的对称点,然后根据直线两点式方程求出的直线方程为.

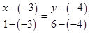
试题解析:点关于轴的对称点.

因为点在直线上,,所以的直线方程为:.

化简后得到的直线方程为:.

考点:直线方程.

 

练习册系列答案
相关题目

违法和不良信息举报电话:027-86699610 举报邮箱:58377363@163.com

精英家教网