搜索
题目内容
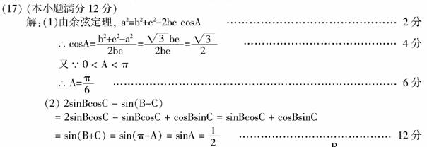
设
的内角A、B、C的对边分别为a、b、c,已知
求:(1)
的大小;
(2)
的值。
试题答案
相关练习册答案
练习册系列答案
名题教辅寒假作业快乐衔接武汉出版社系列答案
走进名校天府中考一本通系列答案
QQ教辅中考题库系列答案
小考必备小升初三年真题测试卷系列答案
宏翔文化全国名校中考模拟试题系列答案
三点一测学霸必刷题系列答案
名榜文化假期作业寒假郑州大学出版社系列答案
赢在假期电子科技大学出版社系列答案
金牌教辅中考学霸123系列答案
复习计划风向标寒系列答案
相关题目
设△ABC的内角A,B,C所对的边长分别为a,b,c,已知△ABC的周长为
2
+1
,且
sinA+sinB=
2
sinC
.
(1)求C的值;
(2)若△ABC的面积为
1
6
sinC,求角C的度数.
(2012•月湖区模拟)已知函数
f(x)=
3
sinxcosx-co
s
2
x-
1
2
,x∈R.
(1)求函数f(x)的最大值和最小正周期;
(2)设△ABC的内角A,B,C的对边分别a,b,c,且c=3,f(C)=0,若sin(A+C)=2sinA,求a,b的值.
设△ABC的内角A,B,C的对边分别是a,b,c,且A=60°,c=3b,
(1)求
a
c
的值;
(2)求
sinB•sinC
sin
2
A
的值.
设锐角三角形ABC的内角A,B,C的对边分别为a,b,c,
m
=(
3
a,b)
,
n
=(2sinA,1)
,且
m
与
n
共线.
(Ⅰ)求B的大小;
(Ⅱ)若△ABC的面积是
2
3
,a+c=6,求b.
设
的内角A、B、C的对边长分别为a、b、c,
,求B
关 闭
试题分类
高中
数学
英语
物理
化学
生物
地理
初中
数学
英语
物理
化学
生物
地理
小学
数学
英语
其他
阅读理解答案
已回答习题
未回答习题
题目汇总
试卷汇总
练习册解析答案