题目内容
已知函数f(x)=x3+ax2+bx+c在x=-(1)求a、b的值与函数f(x)的单调区间.
(2)若对x∈[-1,2],不等式f(x)<c2恒成立,求c的取值范围.
【答案】分析:(1)求出f′(x),因为函数在x=-
与x=1时都取得极值,所以得到f′(-
)=0且f′(1)=0联立解得a与b的值,然后把a、b的值代入求得f(x)及f′(x),然后讨论导函数的正负得到函数的增减区间;
(2)根据(1)函数的单调性,由于x∈[-1,2]恒成立求出函数的最大值值为f(2),代入求出最大值,然后令f(2)<c2列出不等式,求出c的范围即可.
解答:解;(1)f(x)=x3+ax2+bx+c,f'(x)=3x2+2ax+b
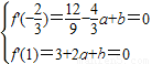
由
解得,
f'(x)=3x2-x-2=(3x+2)(x-1),函数f(x)的单调区间如下表:
所以函数f(x)的递增区间是(-∞,-
)和(1,+∞),递减区间是(-
,1).
(2)
,
当x=-
时,f(x)=
+c为极大值,而f(2)=2+c,所以f(2)=2+c为最大值.
要使f(x)<c2对x∈[-1,2]恒成立,须且只需c2>f(2)=2+c.
解得c<-1或c>2.
点评:考查学生利用导数研究函数极值的能力,利用导数研究函数单调性的能力,以及理解函数恒成立时所取到的条件.
(2)根据(1)函数的单调性,由于x∈[-1,2]恒成立求出函数的最大值值为f(2),代入求出最大值,然后令f(2)<c2列出不等式,求出c的范围即可.
解答:解;(1)f(x)=x3+ax2+bx+c,f'(x)=3x2+2ax+b
由
f'(x)=3x2-x-2=(3x+2)(x-1),函数f(x)的单调区间如下表:
| x | (-∞,- | - | (- | 1 | (1,+∞) |
| f′(x) | + | - | + | ||
| f(x) | ↑ | 极大值 | ↓ | 极小值 | ↑ |
(2)
当x=-
要使f(x)<c2对x∈[-1,2]恒成立,须且只需c2>f(2)=2+c.
解得c<-1或c>2.
点评:考查学生利用导数研究函数极值的能力,利用导数研究函数单调性的能力,以及理解函数恒成立时所取到的条件.
练习册系列答案
相关题目
| π |
| 2 |
A、f(x)=2sin(πx+
| ||
B、f(x)=2sin(2πx+
| ||
C、f(x)=2sin(πx+
| ||
D、f(x)=2sin(2πx+
|