题目内容
已知向量A.
B.
C.
D.
【答案】分析:由
⇒
,进一步得知数列为等比数列,运用等比数列前n项和公式计算.
解答:解:由
,则
,
∴
,又a1=1,则
,
∴数列an构成以1为首项,以
为公比的等比数列
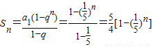
∴
.
故选A.
点评:本题考查了数列的前n项和公式,解答的关键是根据向量共线,把向量坐标转化为数列递推公式,从而得出等比数列.
解答:解:由
∴
∴数列an构成以1为首项,以
∴
故选A.
点评:本题考查了数列的前n项和公式,解答的关键是根据向量共线,把向量坐标转化为数列递推公式,从而得出等比数列.
练习册系列答案
相关题目
已知向量
=(an+1,1),
=(an+1,1),n∈N+,且a1=2,
∥
,则数列{an}的前5项和为( )
| a |
| b |
| a |
| b |
| A、10 | B、14 | C、20 | D、27 |