题目内容
如图,在四棱锥S-ABCD中,平面SAD⊥平面ABCD.底面ABCD为矩形,(1)求证:CD⊥SA;
(2)求二面角S-AC-D的余弦值.
(3)设E为SB的中点,求点B到平面ACE的距离.
【答案】分析:(1)取BC的中点M,AD的中点P.以P为坐标原点,PA为x轴,PM为y轴,PS为z轴建立空间直角坐标系,利用向量法能够证明CD⊥SA.
(2)求出平面CSA的一个法向量和平面ADC的一个法向量.利用向量法能够求出二面角S-AC-D的余弦值.
(3)求出平面ACE的法向量和
,利用向量法能求出点B到平面ACE的距离.
解答:
解:(1)取BC的中点M,AD的中点P.
在△SAD中,SA=SD=a,P为AD的中点,所以,SP⊥AD.
又因为平面SAD⊥平面ABCD,且平面SAD∩平面ABCD=AD
所以,SP⊥平面ABCD.∴PM⊥AD.
如图,以P为坐标原点,PA为x轴,PM为y轴,PS为z轴建立空间直角坐标系,
则S(0,0,
a),A(
a,0,0),B(
a,
a,0),
C(-
a,
a,0),D(-
a,0,0).
∴
因为
,
所以CD⊥SA.
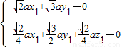
(2)设
=(x,y,z)为平面CSA的一个法向量,
则有
,所以
.
SP⊥平面ACD,所以
=(0,0,1)为平面ADC的一个法向量.
所以cos<
,
>=
=
,
所以二面角S-AC-D的余弦值为
.
(3)∵E为SB的中点,∴E(
,
,
),
∴
=(-
,
,0),
=(-
,
,
),
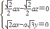
设平面ACE的法向量为
=(x1,y1,z1),
则
,解得
=(
,
,-
),
∵
=(0,
,0),
∴点B到平面ACE的距离d=
=
=
.
点评:本题考查异面直线垂直的证明,考查二面角的余弦值的求法,考查点到平面的距离的求法,解题时要认真审题,仔细解答,注意向量法的合理运用.
(2)求出平面CSA的一个法向量和平面ADC的一个法向量.利用向量法能够求出二面角S-AC-D的余弦值.
(3)求出平面ACE的法向量和
解答:
在△SAD中,SA=SD=a,P为AD的中点,所以,SP⊥AD.
又因为平面SAD⊥平面ABCD,且平面SAD∩平面ABCD=AD
所以,SP⊥平面ABCD.∴PM⊥AD.
如图,以P为坐标原点,PA为x轴,PM为y轴,PS为z轴建立空间直角坐标系,
则S(0,0,
C(-
∴
因为
所以CD⊥SA.
(2)设
则有
SP⊥平面ACD,所以
所以cos<
所以二面角S-AC-D的余弦值为
(3)∵E为SB的中点,∴E(
∴
设平面ACE的法向量为
则
∵
∴点B到平面ACE的距离d=
点评:本题考查异面直线垂直的证明,考查二面角的余弦值的求法,考查点到平面的距离的求法,解题时要认真审题,仔细解答,注意向量法的合理运用.
练习册系列答案
相关题目