题目内容
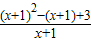
函数y=
【答案】分析:由已知可得,y=
=
=x+1+
-1,利用基本不等式可求函数的值域
解答:解:∵x>-1
∴x+1>0
∴函数y=
=
=x+1+
-1
故答案为:[2
)
点评:本题主要考查了基本不等式在求解函数值域中的应用,属于基础试题
解答:解:∵x>-1
∴x+1>0
∴函数y=
故答案为:[2
点评:本题主要考查了基本不等式在求解函数值域中的应用,属于基础试题
练习册系列答案
相关题目
题目内容
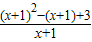
函数y=